近期,西华师范大学王坤副研究员、罗杨平研究员、蒋青权研究员、捷克科学院天文研究所Peter Nemeth博士、国家天文台陈孝钿副研究员等人组成的科研团队利用LAMOST DR8低分辨率光谱数据,结合Gaia EDR3天体测量数据,对极低质量白矮星开展搜寻研究。该工作确认了6颗已知极低质量白矮星的性质,并发现了21颗高置信度的极低质量白矮星候选体。极低质量白矮星观测难度比较大,目前已知的极低质量白矮星只有100多颗,该研究成果证实了利用LAMOST搜寻和研究这类特殊天体的可能性。该成果已发表在国际知名天文期刊《天体物理学报》(2022,ApJ,936,5)。

图 1 极低质量白矮星示意图(图源: Caltech / IPAC )
极低质量白矮星是一种具有重要科学价值的氦白矮星,其质量一般小于0.3个太阳质量。现有的观测资料显示几乎所有的极低质量白矮星都处于双星系统中,其轨道周期从几十分钟到几十天,伴星可以是白矮星、中子星或A/F型矮星。含有致密伴星的短轨道周期极低质量白矮星双星系统是重要的连续引力波源,能够被未来空间引力波探测器探测到,所以它们是当前以及未来引力波研究中天体物理学家最关注的目标之一。但是,由于极低质量白矮星质量小,亮度暗,对观测设备的要求很高,目前已知的极低质量白矮星样本非常少,只有100多颗,限制了这种极低质量白矮星的深入研究。
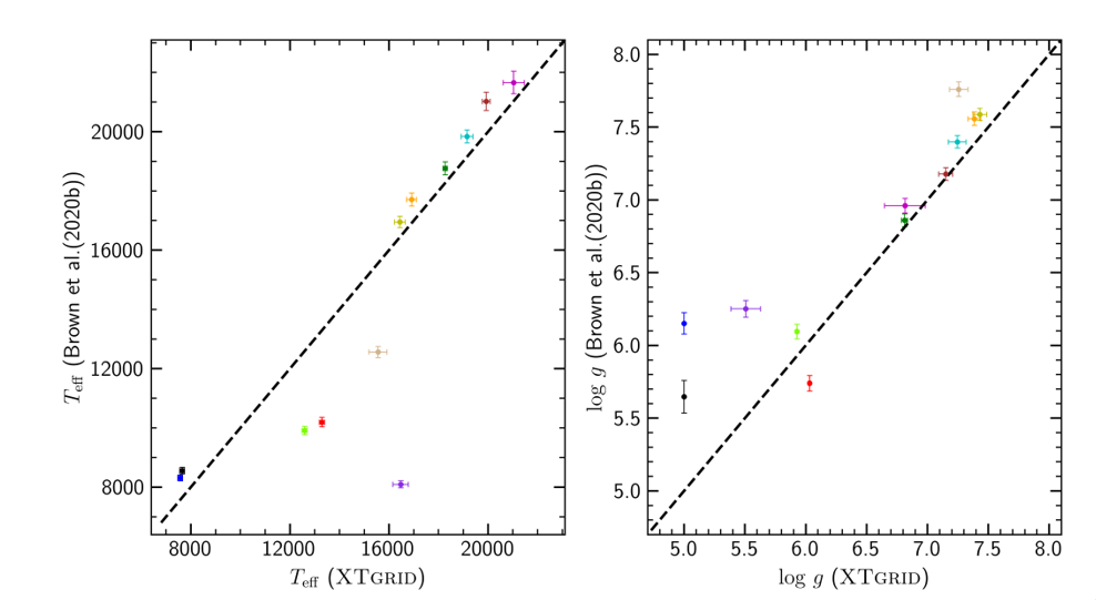
研究团队首先将Pelisoli & Vos(2019)基于Gaia DR2数据挑选的5762颗极低质量白矮星候选体与LAMOST DR8进行交叉,得到136颗候选体的LAMOST低分辨率光谱。另外,交叉获得12颗已知极低质量白矮星的LAMOST低分辨率光谱。然后利用LAMOST光谱测量出目标的大气参数。通过对比12颗已知极低质量白矮星的大气参数,研究人员确认了其中6颗极低质量白矮星的性质(见图2),从而证实了利用LAMOST搜寻和研究这类特殊天体的可能性。结合Gaia EDR3数据和极低质量白矮星的理论演化模型,研究人员获得21颗高置信度的极低质量白矮星候选体,为扩充极低质量白矮星的数量奠定了基础。
随着LAMOST巡天光谱数据的积累和后续的时域分光、测光观测,我们有望发现更多的极低质量白矮星以及可分辨的双白矮星引力波源候选体,为天文学家进一步研究这类特殊天体的性质和追溯恒星形成演化等前沿课题提供更加完备的数据支持。
图2:12颗已经证认的极低质量白矮星的大气参数(有效温度和重力加速度)。横坐标表示的是LAMOST低分辨率光谱拟合结果,纵坐标展示的是极低质量白矮星巡天项目中的大气参数(ELM Survey, Brown et al. 2020, ApJ,889,49)。
文章链接:https://doi.org/10.3847/1538-4357/ac847c