近日,中国科学院云南天文台系外行星/太阳系小行星研究团组在利用光谱巡天大数据探测磁活动年轻恒星方面取得重要进展,相关成果发表于国际天文期刊《天体物理学杂志增刊》(The Astrophysical Journal Supplement Series)。
随着原恒星逐渐成型并持续吸积星周物质,星云系统逐步演化为主序前恒星与星盘,继而形成年轻的主序恒星。在这一过程中,行星也同时在星盘中开始形成。由于角动量损失较小、自转较快,年轻的主序前恒星通常具有极强的磁场,不仅表现出明显的光球黑子活动、色球发射、恒星耀斑等现象,还深刻影响着星周物质的吸积与喷流以及行星的形成。
年轻恒星内部全对流,应该具有不同于太阳的磁场发电机过程。然而,目前对这些天体的磁场活动特性和磁场产生的物理机制还不甚了解,这主要受限于样本和观测信息的不足,尤其是近紫外波段的观测数据比较匮乏,而该波段恰恰是观测研究磁场和吸积活动的重要波段。
中国空间站巡天空间望远镜(Chinese Space Station Survey Telescope, 简称 CSST)将于2027年发射升空,其主巡天光谱恰恰涵盖了近紫外波段,为解决上述问题提供了绝佳的机会。
为此,云南天文台系外行星/太阳系小行星研究团组的徐甫坤博士和顾盛宏研究员等人基于LAMOST(郭守敬望远镜)巡天光谱数据库,通过降低光谱分辨率来模拟未来的CSST主巡天光谱,针对未来利用CSST光谱数据中探测磁活动年轻恒星,开展了预研究工作。
他们基于机器学习技术,使用变分自编码器算法,在LAMOST/Kepler天区的巡天数据中系统搜寻磁活动年轻恒星样本。团队通过诊断Hα谱线的发射强度(恒星磁场活动指标)与Li谱线的吸收强度(恒星年龄指标),新发现500余颗磁活动年轻恒星(如图1所示),涵盖多种类型,典型示例参见图2。

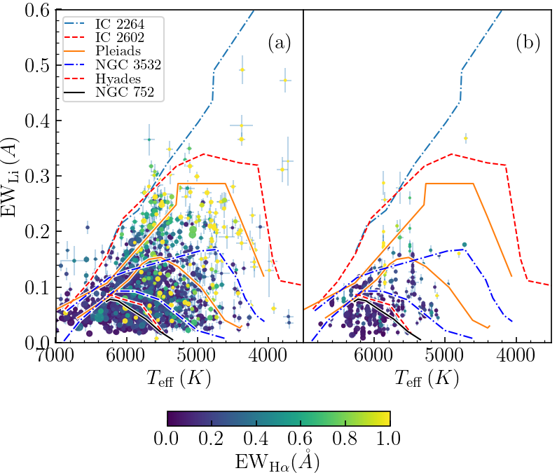
图1:探测到的磁活动年轻恒星的Li线吸收量与Hα线发射量的分布,及其与疏散星团的对比。大部分目标源的年龄小于7.5亿年,少部分目标源为金牛座T型星。

图2:典型目标源的光谱、时序光变曲线及根据所测量的周期进行位相折叠后的光变曲线。从上到下为金牛座T型星、磁活动恒星、拥有系外行星的磁活动恒星及磁活动的食双星系统。
该团队不仅给出了新发现的磁活动年轻恒星的星表,还系统地测量了它们的活动水平、评估了其年龄、计算了其周期,从中发现了一些有趣的目标源(例如,处于磁活动超饱和状态的恒星)。
对这样的样本开展后续精细观测与研究,有助于揭示全对流恒星磁场活动的特征与演化规律,对其内部发电机过程提供重要的观测约束,这一系列研究将深化对恒星早期演化与行星形成过程中磁场的作用的理解。
本项研究工作得到了国家自然科学基金委员会基础科学中心项目、云南省“兴滇英才支持计划”创新团队项目、中国载人航天工程巡天空间望远镜专项、国家自然科学基金等项目的资助。