Researchers Reveal Nearly Isotropic Superconducting Property in Trilayer Nickelate
Apr 17, 2026
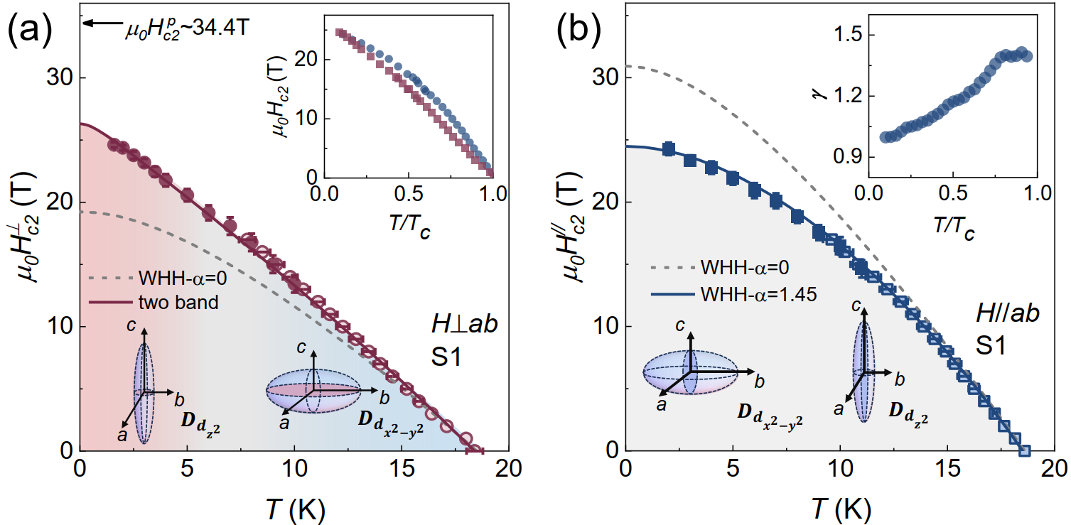
A research team led by Prof. ZHANG Jinglei from Hefei Institutes of Physical Science of the Chinese Academy of Sciences found that the trilayer nickelate La4Ni3O10-δ exhibits a nearly isotropic upper critical field under high pressure, providing insights into the superconducting mechanism of nickel-based materials.
View More