科研成果

强磁场下的三维狄拉克半金属材料研究取得新进展

发布日期:2016-03-18 【字号:

强磁场科学中心田明亮研究员课题组在稳态强磁场实验装置水冷磁体(~31 T)和极低温测试系统的支持下,在三维狄拉克半金属研究中取得重要进展,相关研究结果在线发表在美国物理学会Physical Review B上。

三维拓扑狄拉克半金属是目前凝聚态领域和材料科学领域研究的热点,它被人们形象地誉为三维版本的石墨烯,在未来低能耗电子学器件应用上具有重要价值,探索新的狄拉克半金属材料具有重要的意义。早期的研究表明层状材料ZrTe5是性能优异的热电材料,而最近的角分辨光电子能谱测量和红外光谱测量则表明,该材料可能是一种三维狄拉克半金属材料。但是目前相关的研究还没有确凿的电输运证据。

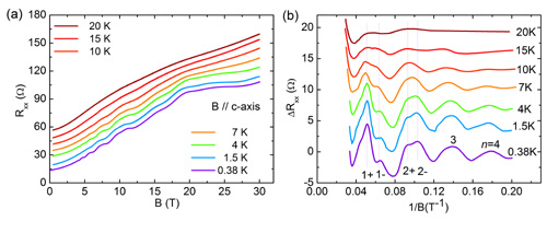
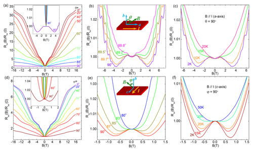
在本工作中,研究人员发现当外加磁场平行于测量电流方向时,样品展现出明显的负磁阻效应,而改变磁场方向后该负磁阻很快得到抑制。这种对电流和磁场夹角高度敏感的负磁阻被称为手性磁效应,也是实验上验证拓扑半金属的一个重要输运证据。此外,通过对ZrTe5中量子振荡行为的进行分析,确认了样品中的电子具有高的迁移率和非常轻的有效质量,同时具有非平庸的贝里位ZrTe5相(Berry phase)。而转角磁电阻测量则发现,这些狄拉克电子具有明显的三维特征。研究人员同时进一步在强磁场(~31T)、极低温(300mK)下测量了样品中的量子振荡行为,研究发现由于朗道能级劈裂效应,这些量子振荡峰会随着温度的降低出现劈裂,这表明材料中的狄拉克点可能由于时间反演对称性破缺劈裂为两个外尔点。这些研究清晰的表明,层状ZrTe5材料是研究三维狄拉克半金属的理想材料体系。

该研究成果以“Transport evidence for three-dimensional Dirac semimetal phase in ZrTe5”为题发表在美国物理评论杂志上 [Phys. Rev. B 93, 115414 (2016)]。该研究工作得到了国家自然科学基金以及合肥大科学中心等项目的支持。

文章链接:http://journals.aps.org/prb/abstract/10.1103/PhysRevB.93.115414

图. 在低温下,当电流与磁场平行时,出现负磁阻行为。而磁场偏离电流方向时,或者温度升高时负磁阻行为消失

图. 强磁场下的量子输运测试表明,由于电子的朗道能级劈裂,量子振荡峰分裂为两个峰