近日,中国科学院国家授时中心脉冲星计时与应用研究团队在脉冲星时校准铯原子钟方面取得了重要进展。研究人员分别使用固定建模法、滑动建模法和固定建模累加法给出了脉冲星时PT校准铯原子钟的结果,并与TAI和TT(BIPM)校准铯原子钟的结果进行了比较,验证了PT校准铯原子钟的可行性。
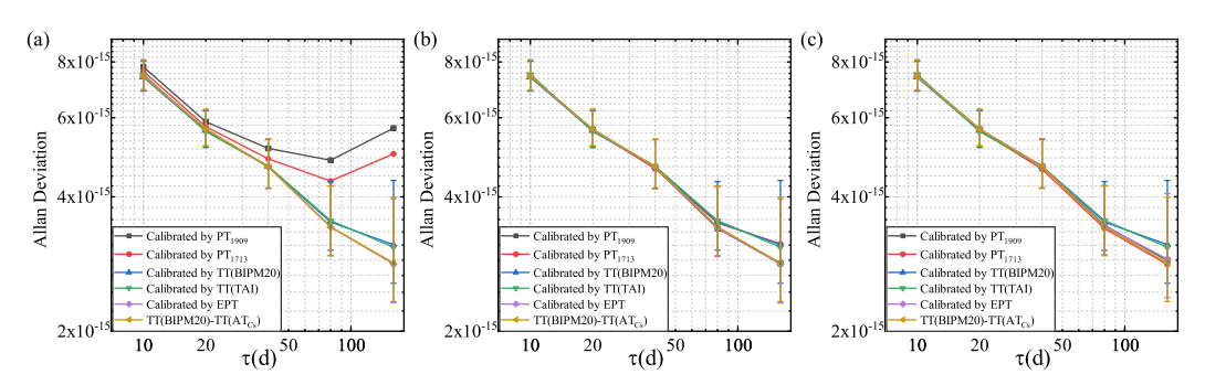
毫秒脉冲星自转极其稳定,利用其长期计时观测数据可构建长期稳定度很高的脉冲星时。本团队利用不同方法在不同时标下得到了脉冲星时校准铯钟的结果(图1-3)。可以看出,在一年的时间尺度下,利用固定建模累加法的综合脉冲星时的校准结果与TT(BIPM20)的校准结果相当。我们进一步对比分析了在一年时间尺度下被校准后的铯钟与未校准的铯钟的稳定度差异(图4)。结果显示,在一年时间尺度下,经综合脉冲星时使用固定建模累加法校准后的铯钟的稳定度并未降低。
以上研究结果表明,使用脉冲星时校准原子钟在理论上是可行的。随着观测数据的积累以及观测技术的提升,脉冲星时有望实际应用在原子钟频率校准领域。

图1. 在半年时间尺度下,PT1909、PT1713、EPT、TT(BIPM20)和TT(TAI)校准铯钟结果对比图
图(a)表示方法1,图(b)表示方法2,图(c)表示方法3

图2. 在一年时间尺度下,PT1909、PT1713、EPT、TT(BIPM20)和TT(TAI)校准铯钟结果对比图
图(a)表示方法1,图(b)表示方法2,图(c)表示方法3

图3. 在两年和三年时间尺度下,PT1909、PT1713、EPT、TT(BIPM20)和TT(TAI)校准铯钟结果对比图
图(a)表示在两年时间尺度下,图(b)表示在三年时间尺度下

图4. 在一年时间尺度下,经PT1909、PT1713、EPT、TT(BIPM20)和TT(TAI)校准后的铯钟与铯钟本身的稳定度对比图
图(a)表示方法1,图(b)表示方法2,图(c)表示方法3
相关研究成果以《Methods for calibrating a cesium atomic clock using a pulsar time-scale》为题发表在天文学著名期刊Monthly Notices Royal Astronomical Society。