近日,科研人员利用LAMOST低分辨率巡天数据结合多台国际望远镜的高分辨率光谱,对33颗银河系氮增丰场星(N-rich Field Stars)进行了详尽的化学动力学分析。该研究不仅给出了它们作为球状星团(Globular Clusters)逃逸星的化学证据,还成功通过轨道和丰度特征,将这些特殊场星划分为银河系本地形成(In situ)与外部吸积(Accreted)两个阵营,并给出了联系特定恒星与宿主星团的动力学证据。该项研究成果由中山大学汤柏添副教授合作的国际科研团队共同完成,目前已在国际知名天文学期刊《天体物理学报》(The Astrophysical Journal)发表,文章第一作者为中山大学物理与天文学院博士生乔一。
银河系晕中保留着星系早期吸积与并合的遗迹,而其中恒星的化学元素丰度如同记录其诞生环境的化石,能够折射出其形成环境与演化历程的细节。球状星团是链接星系与恒星演化的关键桥梁,大量研究表明球状星团内部普遍存在多重星族现象(Multiple Populations),其标志性特征是部分成员星(常称为第二代星,SG或2P)经历了不同环境条件下的核合成过程,导致其化学成分异常,从而使得整个球状星团的特定元素丰度(如Na-O、Mg-Al)呈现出反相关分布。在球状星团瓦解过程中,部分带有异常化学印记的SG成员星可能被潮汐剥离,融入到银晕场星中。
为系统性搜寻这类化学特殊恒星,团队之前的研究基于LAMOST低分辨率光谱,通过对比蓝端CN分子带与CH分子带的强度,筛选出了一批氮增丰场星候选体。深入分析这些恒星的精细化学丰度及它们与球状星团的关联,对探究银河系星族的形成和演化历史具有重要意义。
本项工作中,研究团队在LAMOST数据筛选氮增丰星表的基础上,利用加法夏望远镜(CFHT)搭载的ESPaDOnS、麦哲伦望远镜搭载的MIKE对部分候选体进行了高分辨率光谱观测,结合GALAH巡天项目公开光谱数据,处理分析后获取了33颗氮增丰场星多达25种元素(包括轻元素、α元素、铁峰元素和中子俘获元素)的精确化学丰度。
综合化学与动力学分析,团队取得了以下核心发现。
1)球状星团逃逸星身份:观测证实了这批样本中氮(N)、钠(Na)和铝(Al)元素的显著增丰,且样本星展现出与球状星团二代恒星相近的Na-O和Mg-Al反相关分布规律,为其球状星团起源提供了化学证据支持。


图1. 氮增丰场星以及对照样本的碳-氮(C-N,左)、钠-氧(Na-O,右)丰度面板。黄色(申请观测)和紫罗兰色(来源GALAH)菱形代表本研究的氮增丰场星样本,左图背景黑色点代表普通银晕恒星,右图黄色、蓝色等密度线分别代表一代FG、二代SG典型球状星团成员星分布。
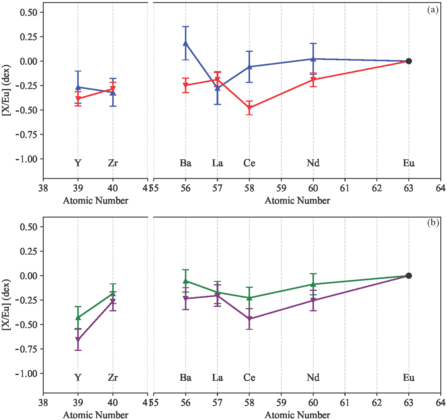
2)动力学-化学分野与双重起源:通过动力学相空间分析,将样本划分为高轨道能量(High Energy,HE)和低轨道能量(Low Energy,LE)两组。HE组呈现出较低的α元素丰度比,且具有更低的[X/Eu],证明快中子俘获过程(r-process)对于元素富集的主导地位,这表明它们很可能来自被银河系吸积的大质量矮星系(如Gaia-Sausage-Enceladus)所携带的球状星团;与之相反的,LE组则展现出较高的α元素、s过程元素丰度比,更接近受AGB星长期化学影响的银河系本地星团特征。


图2. 左:氮增丰场星在轨道能量(E)vs.角动量(LZ)相空间的分布,橙线界定了HE组(亮绿)与LE组(紫),背景灰点为银河系场星。右:HE组与LE组中子俘获元素丰度比[X/Eu],其中又以[Fe/H] = -1.1为界划分为LE-富金属(蓝)、LE-贫金属(红)、HE-贫金属(绿)HE-贫金属(紫)四小组,三角形代表[X/Eu]平均值。
3)轨道积分追溯宿主星团&对话高红移宇宙:通过星团-单星匹配的轨道积分回溯,团队发现氮增丰场星Num28与球状星团NGC 6235在约382 Myr前发生过空间距离小于0.1 kpc的轨道交汇。这一动力学结果与两者相近的金属丰度和轻元素样式结合,为逃逸图景提供了直接证据。另外,研究还指出,对于金属丰度[Fe/H]≤−1.0的氮增丰场星,在N/O比例上与JWST新发现的高红移“N-emitters”相似,这一发现为研究早期宇宙的星团形成提供了可能的本地参照样本。


图3. 左:球状星团NGC 6235(蓝线)与氮增丰场星Num28(橙线)的轨道积分示意图,星号标记了它们在极近距离发生轨道交汇的时刻。右:氮增丰场星(黄色、紫罗兰色菱形)与多个高红移“N-emitters”(红色标记,蓝色区域)的N-O丰度面板,灰色小圆代表银河系HⅡ区对照样本。
本项研究将多元素化学丰度与轨道动力学紧密结合,为追踪球状星团的瓦解和银河系的层级式形成与演化历史提供了定量的实测约束。随着未来大样本、高精度观测数据的积累,此类化学特殊场星将在银河系考古研究中发挥更加关键的作用。
上述工作得到了国家自然科学基金重点项目及面上项目的支持,CFHT望远镜观测时间通过中山大学参与TAP(获取国际望远镜观测时间计划)项目申请获取。
文章链接:https://scixplorer.org/abs/2026ApJ..1000..307Q/abstract